7.10 Problem Challenge 2 - Right View of a Binary Tree (easy)

Previous7.9 Problem Challenge 1 - Connect All Level Order Siblings (medium)Next11. Pattern: Modified Binary Search
Last updated

Last updated
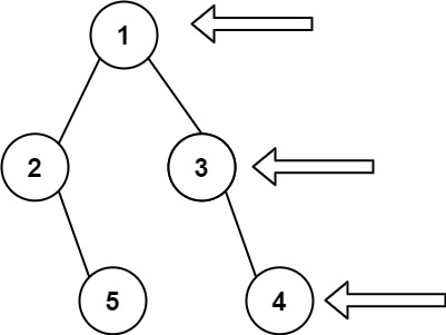
Input: root = [1,2,3,null,5,null,4]
Output: [1,3,4]Input: root = [1,null,3]
Output: [1,3]Input: root = []
Output: []import java.util.*;
class TreeNode {
int val;
TreeNode left;
TreeNode right;
TreeNode(int x) {
val = x;
}
};
class Main {
public static List<TreeNode> traverse(TreeNode root) {
List<TreeNode> result = new ArrayList<>();
if(root == null) return result;
Queue<TreeNode> q = new LinkedList<>();
q.offer(root);
while(!q.isEmpty()) {
int levelSize = q.size();
// List<TreeNode> currLevel = new ArrayList<>();
for(int i = 0; i < levelSize; i++) {
TreeNode curr = q.poll();
// currLevel.add(curr);
if(i == levelSize-1)
result.add(curr);
if(curr.left != null) q.offer(curr.left);
if(curr.right != null) q.offer(curr.right);
}
// result.add(currLevel.get(currLevel.size()-1));
}
return result;
}
public static void main(String[] args) {
TreeNode root = new TreeNode(12);
root.left = new TreeNode(7);
root.right = new TreeNode(1);
root.left.left = new TreeNode(9);
root.right.left = new TreeNode(10);
root.right.right = new TreeNode(5);
root.left.left.left = new TreeNode(3);
List<TreeNode> result = Main.traverse(root);
for (TreeNode node : result) {
System.out.print(node.val + " ");
}
}
}